Transformer动画讲解 – Softmax函数
本文隶属于:Transformer 系列动画讲解
- 神经网络算法 – 一文搞懂Transformer
- 神经网络算法 – 一文搞懂 Transformer(总体架构 & 三种注意力层)
- Transformer动画讲解 – 工作原理
- 神经网络算法 – 一文搞懂Embedding(嵌入)
- Transformer动画讲解 – 注意力机制
- 神经网络算法 – 一文搞懂Attention(注意力)机制
- 神经网络算法 – 一文搞懂Transformer中的三种注意力机制
- Transformer动画讲解 – Cross Attention
- Transformer动画讲解 – 单头注意力和多头注意力
- 神经网络算法 – 一文搞懂Self-Attention和Multi-Head Attention
- Transformer动画讲解 – 注意力计算Q、K、V
- Transformer动画讲解 – 数据处理的四个阶段
- Transformer动画讲解 – 多模态
- Transformer动画讲解 – Softmax函数
- Transformer动画讲解 – 多层感知机制
- 神经网络算法 – 一文搞懂FFNN(前馈神经网络)
- 神经网络算法 – 一文搞懂GPT(Generative Pre-trained Transformer)
Transformer的Softmax函数
Transformer的Softmax函数:用于将原始注意力分数转换为输入标记的概率分布。这种分布将较高的注意力权重分配给更相关的标记,并将较低的权重分配给不太相关的标记。Transformers通过Softmax在生成输出时,使用注意力机制来权衡不同输入标记的重要性。
Transformer的Softmax函数
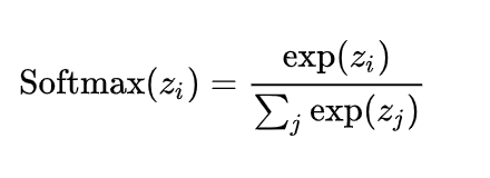
Softmax的数学原理:对于一个给定的实数向量,它首先计算每一个元素的指数(e的幂),然后每个元素的指数与所有元素指数总和的比值,就形成了softmax函数的输出。这种计算方式不仅使输出值落在0到1之间,还保证了所有输出值的总和为1。
Softmax的数学原理
Softmax在Transformer的位置:
在Transformer模型中,Softmax函数主要在两个关键位置被使用:
-
- 自注意力机制(Self-Attention Mechanism):
(1)自注意力机制是Transformer模型中的核心组件之一,它允许模型处理输入序列中的依赖关系,而不需要考虑序列中元素的顺序。
(2)在自注意力机制中,模型首先计算输入序列中每个位置(token)与其他所有位置的的相似度分数(也称为注意力分数)。这些分数通常通过点积、缩放点积或其他相似度函数计算得到。
(3)使用Softmax函数对这些相似度分数进行归一化,生成一个权重分布,该分布表示了在计算当前位置(query)的表示时,应赋予其他位置(keys)多大的关注程度。
(4)这些权重最终被用来计算加权和,生成当前位置的上下文向量,该向量将作为该位置在后续层中的输入。
-
- 输出层(Output Layer):
(1)在Transformer的解码器部分,输出层负责根据解码器的状态生成目标序列。
(2)当进行词汇预测或生成任务时(如机器翻译中的下一个词预测),解码器的最后一层通常会产生一个未经归一化的分数向量(logits),其中每个元素对应于词汇表中一个词的概率。
(3)Softmax函数被应用于这个分数向量,将其转换为概率分布,其中每个元素表示生成对应词汇的概率。这使得模型可以生成一个分布,并从中选择最可能的词作为预测结果。
Softmax在Transformer的位置
Softmax在Transformer的作用:
-
归一化:Softmax函数将原始分数转换为概率分布,确保所有概率之和为1,使得输出结果可以解释为概率。
-
平滑化:通过指数函数,Softmax能够将大的分数差距转换为相对平滑的概率分布,从而避免了“赢家通吃”的情况,即一个分数远大于其他分数时,其他分数几乎被忽略。
-
可解释性:输出的概率分布使得模型预测结果更加直观和可解释,我们可以直接查看模型为每个可能输出分配的概率。
-
稳定性:在训练过程中,Softmax有助于保持梯度的稳定性,因为概率分布的变化通常比原始分数更加平滑。
Softmax在Transformer的作用
**注释**
Transformer动画素材来源于3Blue1Brown,想了解更多查看参考资料网址。
3Blue1Brown 是一个由 Grant Sanderson 创建的YouTube 频道。这个频道从独特的视觉角度解说高等数学,内容包括线性代数、微积分、人工神经网络、黎曼猜想、傅里叶变换以及四元数等。
Grant Sanderson 毕业于斯坦福大学,并获得了数学学士学位。
参考资料
- https://www.3blue1brown.com/
-
https://www.3blue1brown.com/lessons/attention
