Mentor面向智能家居的IoT方案
目前有各种智能家居的自动化解决方案,但其中大多数缺乏将已存在的家庭环境和安全无缝整合的潜力。为了弥合消费者和技术之间的差距,同时允许在不对建筑进行改造的情况下融入任何现有的家庭环境,需要一个具有无缝集成潜力的模块化和灵活的智能家居自动化解决方案。
Mentor的解决方案包括以下目标:
- 为物联网提供一个模块化的安全的智能家居解决方案
- 易于在没有专家的情况下配置和安装
- 使用免费的物联网通信协议软件
智能家居自动化系统(SHAS)是智能建筑的住宅扩展。它是一个完整的家居自动化,可能包括照明、供暖、通风和空调(HVAC)、家用电器和安全系统以及在家庭环境中发现的多种其他系统。近年来,随着M2M通信网络的进步,智能家居自动化领域发展迅猛,智能手机和平板电脑的出现使得人们的应用更加简单。
简单定义,智能家居自动化系统是电子设备的集成(包括驱动非电子装置,如百叶窗)和通过智能系统监测并控制家庭环境,或由用户在本地或远程使用蓝牙或Wi-Fi等通信媒介,由计算机进行协调处理。在这种相互关联的环境中,任务可以变得更加直观和有效。家庭网络处理所有的通信,用户可以通过个人电脑、智能手机或平板电脑在家中或远程地点通过互联网访问该系统。信息技术和家庭环境的整合使得系统和设备能够在方便、能源效率和安全方面发挥作用。
因此,整个智能家居架构由家庭网络、用户的家庭设备和行业服务提供商的连接设备组成。
目标问题
现有的智能家居自动化系统是定制的设计,以适应特定的消费者家庭环境和需求。 这些系统在设计上是复杂的,不够灵活,不能满足客户的要求,并且经常嵌入到房屋的物理结构中。
在现有的智能家居自动化系统中,安全和安保是消费者和终端用户的一个重要考虑因素。 研究一再表明,设计用于家庭自动化的设备有严重的漏洞。惠普(HP)对10套现成家庭安全系统的调查显示,许多设备的密码策略很弱,不能防止中间人攻击。根据代码安全公司 Veracode 4月份的一项研究,其他人并不阻止访问该设备的调试界面,这样就可以很容易地对设备进行黑客攻击。 而且,根据 Synack 安全公司的一项研究,如果攻击者能够访问这个设备,几乎所有的设备都可以很容易地被破坏并变成一个特洛伊木马。 事实上,研究人员只用了5到20分钟就找到了一种方法来破坏每一个设备。
解决方案
为了解决前面的问题,Mentor提出了一种无缝集成、非常安全、可重构和可扩展的 SHAS。 为了成为一个可以持续进行研究的平台,它使用嵌入式 Linux (图1) ,这使得物联网设备能够拥有丰富的应用环境,并且能够访问开源IP和开发者社区。它还允许各种各样的连接支持一套全面的无线和有线传输协议。
[图1 | 嵌入式 Linux ]
该系统将运行在 i.MX6 SABRE 系列(只有 SABRE Lite 和 Nitrogen6X 板)和 LayerScape LS1021A BSP 上,与其他开发板的兼容性预计将在今后的版本中出现。
[图2 | I.MX6 SABRE 系列参考平台]
系统的其余部分是围绕 i.MX6 SABRE 设计的,它使用模块化的主从系统设计。主节点和所有的从节点通过 Wi-Fi、蓝牙、低耗电蓝牙(BLE)或基于ipv4/ipv6网络的USB 2.0/3.0进行通信。其模块化和高度结构化的组织提供了在需求变化时安装附加软件协议的能力。
用户可以在本地或远程上网访问该系统。智能物联网设备的爆炸式增长和基于云计算的服务的激增,为开发者提出了保护资产免受软件攻击的新要求。Mentor也提供了可以授权或作为服务提供的应用云后端服务支持。
用户接口是作为本地托管的网络服务器开发的,或通过安装在智能手机上的任何应用程序,允许系统从几乎所有装有的浏览器中控制。
简单的表示可以在图3中看到。红色箭头表示只在主节点和用户设备之间传输的通信,而蓝色箭头表示的是只在主节点和从节点之间传输的通信。
[图3 | 整个系统布局图]
智能家居自动化架构和应用领域
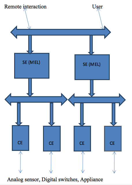
物联网嵌入式运行时是最适合家庭自动化的总体架构。建议的架构只使用两种类型的模块: 主管引擎(SE)和控制引擎(CE) ,它们由MEL支持的通信网络相互连接。
如图4所示,该系统具有分布式的特性,并且是在两个层次结构中组织的。 SE是高层模块,它们基本上执行监督任务。CE是通过输入和输出设备与物理世界互动的低层模块。
[图4 | 系统架构]
家庭网络的连接性
架构中的一个关键要素是将各种系统模块相互连接的通信网络。这个网络是至关重要的,因为它可能会影响系统的几个特性,例如性能、灵活性和成本。 物联网必须具有可扩展性,以支持物联网的动态特性(因为设备是从网络中添加和删除的)。
Mentor的解决方案包括为一套全面的无线和有线传输和协议提供的连接支持:
1. Ethernet
- IEEE 802.11 a/b/g/n 802.11 a / b / g / n
3. Bluetooth Low Energy (BLE)
- IEEE 802.15.4 8
5. 6LoWPAN
- CoAP
7. MQTT
- XMPP
网络能够简单地实现在CE上实现,而不需要添加任何特定的硬件或增大这些模块的处理和内存需求。如果没有这些考虑,它们的成本就会大幅增加,整个系统也会发生同样的情况,因为CE数量众多。
软硬件支持
物联网正在快速发展,为产品找到合适的物联网开发硬件是一项艰巨的任务。通过为物联网选择Mentor嵌入式运行时,可以节省大量的时间和金钱,有各种各样的开发板支持包可以适应主流半导体供应商的流行参考设计。除此之外,Mentor的集成服务团队可以将 MEL 与自定义硬件集成,并优化MEL以满足需求。
安保与安全性
在最终用户看来,安全和安保是一个重要的考虑因素,不仅是系统的网络安全,而且包括系统能够为住宅及其使用者提供的安全程度。 在上述问题中,安全问题是主要问题。
物联网的Mentor嵌入式运行有大量的安全选项,比如 SE-Linux 和 SMACK,这可以减少网络安全威胁和攻击的风险。 为了安全起见,建立一个防火墙也很重要。 Mentor与Icon Lab合作,将其 Floodgate 安全产品与Mentor的核心 RTOS以及嵌入式Linux结合了起来。
用户接口
由于 USB、 BLE 设备、传感器和执行器的多样性,家居自动化的基础设施通常相当复杂。 在用户和系统之间设计一个接口的挑战之一是如何使用户能够很容易地将其家庭中的物理设备与用户界面中的适用元素联系起来。
几十年来,智能手机的崛起为我们思考如何与互联网互动开创了一个新的先例。 但是我们一直在等待的"连接"用户体验真的就是触摸、缩放和输入小键盘吗? 并不是这样的。
(编译在 http://www.embedded-computing.com/iot/iot-based-smart-and-secure-home-automation)
