Markdown数学公式简要
Markdown的语法简洁明了、学习容易,而且功能比纯文本更强,因此用它写文档非常方便,还可以轻松的导出PDF或者HTML的文件。github上的wiki,各个project 中的readme,以及国内的“简书”都是Markdown 的用武之地。更重要的是,很多开发工具也都支持Markdown的插件,例如RStudio,Sublime Text等等。
Markdown 有很多现成的工具,例如Markdownpad,mou等,CSDN 的 Markdown 编辑器提供了示例模版,可以分分钟上手使用。网络上的资料更多:
1. github的书写方式:
https://help.github.com/categories/writing-on-github/
2. markdown 语法规范:
http://daringfireball.net/projects/markdown/syntax
3. markdown 写作指南:
https://www.binarization.com/archive/2016/markdown-guide/#help
老码农出于对开源工具的热爱,推荐在mac平台使用 MacDown 这一工具,可以到作者的blog上直接下载:
http://macdown.uranusjr.com/blog/
也可以到github上去源码编译:
https://github.com/MacDownApp/macdown
为什么是Mac平台?请参见《全栈必备 开发学习环境》一文。
在学习和实践的过程中,经常会遇到诸如算法之类的数学公式,在原始的Markdown中是不支持的,一般采用的方式:
1) 在其他的编辑器(例如word)中编辑好,然后制成图片,插入到Markdown的文档中
2)利用在线编辑器的web服务,将链接引入到markdown的文档中
这两种方式都不是很方便,实际上,很多的Markdown编辑器都是支持数学公式编辑的,通过的方式就是LaTeX 扩展,比如CSDN的Markdown博客编辑器使用了MathJax 来支持LaTeX的:
LaTeX 是大神Leslie Lamport 的杰作,该神是2013年图灵奖的获得者,感兴趣可以去瞻仰一下神人的相关著述:
http://lamport.azurewebsites.net/pubs/pubs.html
LaTeX是一种基于ΤΕΧ的排版系统,对于生成复杂表格和数学公式表现得尤为突出。LaTeX也是当今世界上最流行和使用最为广泛的TeX格式。它构筑在 PlainTeX的基础之上,并加进了很多功能以利用TeX的强大功能,更多内容可以参考一下《LaTeX Cookbook》或者国内的《LaTeX 入门》等书籍。
LaTeX 博大精深,但对写博客而言,或许只需要知道凤毛麟角就勉强够用了。在MacDown中,只需勾选响应的选项,就可以使用LaTeX的语法编辑数学公式了,如下图:
对于LaTex,还使我想起了我国另一位软件界的神人——求伯君先生,以及他早期的WPS。
鉴于要分分钟即可使用LaTex的常用数学公式语法,以及一般遇到的场景,现简要汇总如下:
常用的数学公式语法如下:
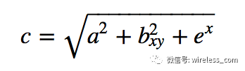
1)角标 和 开方:
$c = sqrt{a^{2}+b_{xy}^{2} +e^{x}}$
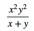
2)分数表达:
$frac{x^{2}y^{2}}{x+y}$
x2y2x+y
3)求和与联乘:
$$sum_{i=0}^{n}$ prod_epsilon$$
∑i=0n∏ϵ
4)微分与积分
$int_{a}^{pi} f(x) ,dx$
∫aπf(x)dx
5)极限 与 偏导数
$$ lim_{x to +infty}frac{1}{x}$$
$$frac{partial^2 u}{partial z^2}$$
6).三角函数与矩阵
$$cos2theta = cos^2theta - sin^2 theta = 2cos^2theta -1$$
$$begin{equation}
A=left[
begin{matrix}
&2&3&
&2&3&
&2&3&
end{matrix}
right]
end{equation}$$
A=[123344544]
7).数学符号与运算符
那些希腊字母,关系和运算符号还是查表吧。
更多用法参见《一份不太简短的LaTex 介绍》。
最后,在这里写下传说中“上帝创造的公式”吧——欧拉公式。
